MathType输入绝对值符号的具体办法
时间:2026-02-20 | 作者: | 阅读:0MathType输入绝对值符号的具体办法
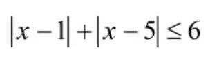
在MathType输入以上绝对值公式的具体操作如下:
1.在Mathtype工具栏分隔符模板下选择绝对值符号模板;
2.在绝对值符号内输入“x-1”;
3.将光标移到绝对值外(如图),输入“+”;
4.再次选择绝对值符号模板,在绝对值符号内输入“x-5”;
5.将光标移到绝对值符号外,输入“≤”,最后输入数字6,完成公式编辑。
也可以使用以下几种方法输入绝对值符号:
操作方法一 使用快捷键“Ctrl+T,Shift+”。
操作方法二 在“编辑”菜单下选择“插入符号”,打开插入符号对话框,选择绝对值符号。
操作方法三 使用手写输入面板输入绝对值符号
在“编辑”菜单下选择“打开数学输入面板”,在手写面板上输入,点击“插入”,输入到MathType。
来源:https://www.downza.cn/xy/88173.html
免责声明:文中图文均来自网络,如有侵权请联系删除,心愿游戏发布此文仅为传递信息,不代表心愿游戏认同其观点或证实其描述。
相关文章
更多-
- 异环永恒之心怎么刷
- 时间:2026-02-17
-
- 异环囿巢鸟怎么打
- 时间:2026-02-17
-
- 王者荣耀无尽挑战29关通关教程
- 时间:2026-02-17
-
- 末日之刃公测时间揭晓
- 时间:2026-02-17
-
- 2D动作RPG《冒险家艾略特的千年奇谭》6月18日发售
- 时间:2026-02-17
-
- 全新无战斗建造玩法《宝可梦Pokopia》3月5日登陆NS2!
- 时间:2026-02-17
-
- 2026鸣潮账号交易指南:6大安全合规的交易平台对比与选择策略
- 时间:2026-02-17
-
- 鸣潮感动常在成就怎么达成
- 时间:2026-02-16
精选合集
更多大家都在玩
大家都在看
更多-
- 索尼PS6会用AMD RDNA5:可惜不是完整版!
- 时间:2026-02-17
-
- 修仙搜打撤公测时间是什么时候
- 时间:2026-02-17
-
- 斗破苍穹苏千技能一览
- 时间:2026-02-17
-
- 方舟生存进化河狸窝分布图
- 时间:2026-02-17
-
- 斗破苍穹势力玩法
- 时间:2026-02-17
-
- 西游大乱斗兑换码是什么
- 时间:2026-02-17
-
- 两年都有货!Intel GPU年更计划:Xe3P今年发 Xe-Next明年接力
- 时间:2026-02-17
-
- 龙岛异兽起源龙币怎么兑换
- 时间:2026-02-17





