word2013设置自动编号公式的操作教程
时间:2026-02-15 | 作者: | 阅读:0word2013设置自动编号公式的操作教程
打开自己需要编号公式的论文;
安装过Mathtype后,Word会有一个Mathtype的模块,选择该模块下的“Insert Number”->“Format”,设置一下编号的格式;
在弹出对话框中,主要设置“Simple Format”简单格式就好,在Preview中可预览格式;
备注:可以看到公式编号可以包含章节号,也可以选择不包含,我们以包含章节号为例,若不需要的话,把前面的钩去掉即可。
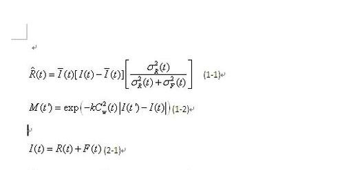
点击“OK”确认格式后,就来插入编号;将光标放在需要编号的公式后,直接点击“Insert Number”按钮,公式就会按照我们之前设置的格式进行编号了;
当我们的论文到下一章,希望公式重新编号时,首先需在该章节的一个空白处点击Mathtype模块中的“Chapters & Sections”->“Insert Next Chapter Break”,插入一个章节结束标志,意为之后为下一章的公式,编号从新开始;
之后在公式后点击“Insert Number”按钮,会发现公式的编号已经是(2-1)了;
适当调整一下公式格式,我们公式编号的任务就大功告成了!
若删除了一个公式,那么只要将光标放在之后的任意公式编号处,选择“Insert Number”->“Update”,公式的编号就会自动更新,是不是更为方便!
各位小伙伴们,看完上面的精彩内容,都清楚word2013设置自动编号公式的操作过程了吧!
来源:https://www.downza.cn/xy/65080.html
免责声明:文中图文均来自网络,如有侵权请联系删除,心愿游戏发布此文仅为传递信息,不代表心愿游戏认同其观点或证实其描述。
相关文章
更多-
- word2013设置文字分栏的操作教程
- 时间:2026-02-12
-
- word2013创建样式的详细操作过程
- 时间:2026-02-12
-
- word2013隐藏内容的操作方法
- 时间:2026-02-12
-
- word2013添加背景音乐的操作教程
- 时间:2026-02-12
-
- word2013添加背景图片的操作方法
- 时间:2026-02-12
-
- word2013调大字符间距的操作方法
- 时间:2026-02-12
-
- word2013打印不了图片的处理教程
- 时间:2026-02-12
-
- word2013设置奇偶页不同页眉的操作方法介绍
- 时间:2026-02-12
精选合集
更多大家都在玩
大家都在看
更多-
- 诺基亚105手机卡顿反应慢的解决方法
- 时间:2026-05-31
-
- 三星Note 8手机卡顿反应慢解决方法
- 时间:2026-05-31
-
- 安卓手机卡顿解决方法 360手机N5全网通提速指南
- 时间:2026-05-31
-
- 魅蓝5s手机卡顿反应慢解决方法全网通安卓系统优化
- 时间:2026-05-31
-
- 三星Note9无限重启解决方法与忘记密码刷机教程
- 时间:2026-05-31
-
- 一加8T手机无限重启与忘记密码刷机解决方法
- 时间:2026-05-31
-
- vivo Y3忘记锁屏密码怎么办?4步教你快速解锁手机
- 时间:2026-05-31
-
- 荣耀20青春版忘记密码解锁方法详解
- 时间:2026-05-31









