《明日方舟:终末地》水管铺设攻略
时间:2026-02-12 | 作者: | 阅读:0也许有许多的用户想了解《明日方舟:终末地》水管铺设攻略,下面让心愿游戏的小编为你带来这方面的答案,希望能帮助到你。
《明日方舟:终末地》水管铺设攻略
基础流速与堵塞原理
武陵的水管流速为2,而水泵抽水速度为1,两个水泵理论上不会堵塞。但实际铺设中如果设置回流节点,由于终末地中的水流是无碰撞体积的粒子,速度可以简单加和。限制输水量的主要原因是单根水管流速上限为2,超过这个值就会造成堵塞。当回流一次之后下方输入口的输入速度降低为1/2,这就是堵塞产生的根本原因。
回流装置增压器
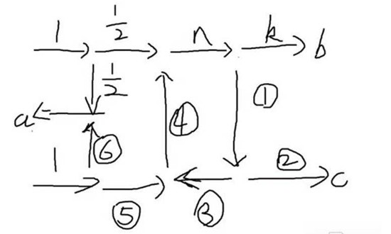
设计回流装置的初衷是为了省水。蓝图启动时有些地方用水量大,但过一段时间有的地方就不需要用水了,比如液态息壤存满了或是粉碎机堵了。通过回流装置可以设计一种通道,使得当一个出水口所需流量下降时别的出水口流量能增加。基本单元左侧为a口,右侧上为b口,右侧下为c口,一般条件下a:b:c的出水速率为3:2:1。
通过计算可以发现,a输出恒为1,且②=①/2=k/2,因此输出端b:c恒为2:1,于是b=2/3,c=1/3。堵塞情况是一般情形下的特殊情况,回流设备中n限制了b、c输出口的输出量,n最大为2。此时如果要整体不堵塞,只需要a口出水速大于1/2即可。通过调节a出口的流速可以实现b、c端口的增压,a初始流速为1则b、c初始输出为2/3、1/3,一段时间后a口降为1/2,b、c两口可增压为1、1/2。
三端拓展与验证
作为三端装置自然可以拓展:当b口限制出水量时会怎么样。设想回流最终饱和形态,由于b口限制了出水量,k≠①,①=n-k,则②=③=(n-k)/2。此时分两种情况,情况一是a口加压比较小n没有爆掉,此时a=1,b=k,c=1-k。情况二是a口加压大n爆掉,此时a<1/2,b=k,c=1-k/2,然后管道会堵塞。将k=1/2代入验证,此时a=1,c=1/2,则a:c=2:1,通过种植器验证基本符合。
上面是心愿游戏的小编为您带来的《明日方舟:终末地》水管铺设攻略,希望能帮到小伙伴们,更多相关的文章请收藏心愿游戏
来源:https://shouyou.3dmgame.com/gl/611597.html
免责声明:文中图文均来自网络,如有侵权请联系删除,心愿游戏发布此文仅为传递信息,不代表心愿游戏认同其观点或证实其描述。
相关文章
更多-
- 明日方舟终末地佩丽卡武器装备如何搭配 明日方舟终末地佩丽卡全面培养一图流
- 时间:2026-04-07
-
- 明日方舟终末地帝江号干员怎么进驻 明日方舟终末地帝江号满效率基建搭配
- 时间:2026-04-07
-
- 明日方舟终末地四号谷地怎么毕业 明日方舟终末地四号谷地一键毕业蓝图分享
- 时间:2026-04-07
-
- 明日方舟终末地帝江号各舱室干员怎么安排 明日方舟终末地全干员基建技能一览
- 时间:2026-04-07
-
- 明日方舟终末地余烬全方位怎么培养 明日方舟终末地余烬全方位培养攻略
- 时间:2026-04-07
-
- 明日方舟终末地蚀像寻遗宝箱在哪里 明日方舟终末地蚀像寻遗宝箱收集路线
- 时间:2026-04-07
-
- 《明日方舟:终末地》洛茜配队攻略
- 时间:2026-04-06
-
- 明日方舟终末地泉流无声活动宝箱点位汇总
- 时间:2026-04-03
精选合集
更多大家都在玩
大家都在看
更多-
- DNF2026魔道技能数据大核心要点全凸显
- 时间:2026-04-12
-
- 太空修仙录什么时候出 公测上线时间预告
- 时间:2026-04-12
-
- 战地6NVO288E好用配件搭配推荐
- 时间:2026-04-12
-
- 惊爆 烈火星辰传奇技能大,超强玩法等你体验,速来一探究竟
- 时间:2026-04-12
-
- 燕云十六声众生宝箱介绍 全面解析与探秘
- 时间:2026-04-12
-
- 地下城手游迷你商店换什么装备 地下城手游迷你商店的装备选择建议是什么
- 时间:2026-04-12
-
- 绝地求生中眼泪一两声是什么意思 怎么在游戏中触发
- 时间:2026-04-12
-
- 迅雷光鸭云盘开启公测招募:不限速、免登录 2TB免费空间
- 时间:2026-04-12



