卧室中这个很容易被忽视的点 正在让无数人失眠
时间:2026-03-13 | 作者: | 阅读:0很多人晚上翻来覆去睡不着,半夜频繁觉醒,醒来后浑身燥热,总觉得是“失眠”,其实未必——很可能只是卧室或被窝的温度没调对。
当身体核心体温降不下来,大脑就会一直保持“清醒模式”,而温度正是调节体温节律、影响睡眠质量的关键开关。
温度如何“操控”你睡眠的?
人体核心体温在24小时内呈现规律性波动。昼夜体温节律是由生物钟控制的,表现为凌晨3-5点体温最低(约36.0-36.5°C),傍晚16-18点最高(约37.0-37.5°C),波动幅度0.5-1.0°C。
入睡前两小时体温开始下降,这个过程是通过血液流向手脚等末梢部位散热实现的,并且与睡眠激素褪黑素的释放同步。
核心体温下降和褪黑素分泌增加是身体发出的“准备睡觉”信号。睡眠期间体温继续下降,在清晨达到最低点,然后逐渐回升。一旦环境温度打破这个节律,睡眠就会被直接干扰。
1、太热:让你“热醒”又“睡不深”
卧室温度高会阻碍身体散热,核心体温降不下来,大脑就难以进入睡眠状态,导致入睡时间延长。卧室温度较高还会减少慢波睡眠(深睡眠)和快速眼动睡眠(REM),导致夜间频繁觉醒。在 REM 睡眠期(做梦期),大脑高度活跃,但身体肌肉处于几乎瘫痪的放松状态,无法通过发抖或出汗来调节体温,完全“受制于”外界温度,所以会对环境温度变化更加敏感。
因此,如果卧室环境温度过高,会缩短REM睡眠期的时长。REM睡眠对情绪调节至关重要,REM不足会让第二天更容易烦躁、情绪波动。
一项涵盖68个国家、47000名成年人、超过700万条睡眠记录的研究显示,当夜间温度超过30°C时,平均睡眠时间减少超过14分钟。
女性和老年人对夜间气温升高的反应更明显;而负担不起空调的人群,会受到更大的负面影响。
2、太冷:让你“冷醒”又“睡不安”
凉爽的卧室环境有助于促进体温下降,使人更容易入睡并保持睡眠状态。
但过低的温度会让身体持续产热以维持体温,肌肉无法完全放松,不仅容易在半夜被冻醒,还会降低睡眠效率,让你即使睡够了时间,也觉得疲惫不堪。
“最佳睡眠温度”是多少?
没有一个温度能适配所有人,但科学研究已经给出了清晰的参考范围,你可以根据自身感受微调。
1、卧室室温:决定能否一夜安睡的关键
美国国家睡眠基金会(National Sleep Foundation)建议,理想的卧室睡眠温度在15.6-19.4℃。也有研究指出,18-21℃是更容易被接受的范围。在这个区间内,人体能建立最佳的睡眠皮肤微气候(31-35°C)。
随着年龄增长,核心体温比年轻时略低,因此需要更温暖的环境。2023年,美国辛达与亚瑟·马库斯老年研究所历时一年半,通过对 50 名65 岁以上老人进行睡眠监测,分析了总计 11000 个夜晚的睡眠数据后发现:
当卧室温度保持在 20 至 25℃ 时,睡眠质量达到最佳状态。其中20℃ 被证实为最佳温度,此时有效睡眠时长达到峰值,翻身次数最少。当室温升至30℃ 时,睡眠效率会骤降5%-10%,夜间躁动明显增加。
但需要注意的是,卧室的最佳温度存在显著的地域和个体差异。不要执着于某个具体温度数字,应该关注自己的感受。如果入睡时觉得燥热、醒来时出汗,说明温度偏高;如果蜷缩着身体、手脚冰凉,就是温度偏低了。
2、被窝微气候:被忽略的“隐形热源”
影响睡眠舒适度的不只是室温,床上微气候同样至关重要。床品带来的闷热感比环境温度更隐蔽,对体感的影响却更显著。
被子覆盖形成的空气层,温度通常比室温高出3-5℃。不同床品在最冷与最热条件下的保温值差异可达1.32 clo(保温单位)。每1 clo的保温变化,约相当于5.3℃ 的室温变化,1.32 clo的差异相当于约8℃ 的室温调节范围。
当床品与室温匹配,达到“不冷不热”的热中性状态时,睡眠效率最高、深睡眠占比最大。偏离这个状态越明显,睡眠质量越差。在16℃ 至24℃ 的室温范围内,人会通过蜷缩、调整被子松紧、伸出或收回四肢等无意识动作,自动调节以接近热中性状态。
床垫表面温度达到32℃ 时,睡眠满意度明显下降,入睡时间延长,夜间更容易觉醒。厚重不透气的被子、散热差的床垫、闷热的枕头,都会锁住热量,持续抬升体感温度,破坏睡眠质量。
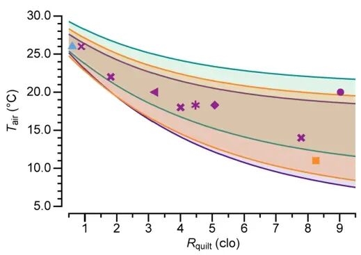
上图展示了不同材质被子在不同室温下的热舒适区域,X轴表示被子保温值(Rquilt, clo),Y轴表示空气温度(Tair,℃)。不同颜色的曲线代表不同材质被子的舒适边界——曲线上方区域过热,下方过冷。紫色线条为聚酯纤维被,保温值范围最宽,但舒适温度随保温值增加下降最快。青色为丝绸被,舒适温度最高,曲线最平缓。橙色为羽绒被,保温效率最高,舒适温度下降较缓。
床品推荐
北方有暖气地区,推荐羽绒被(2-3 clo)或中等厚度聚酯纤维被(3-4 clo),利用其平缓的舒适曲线,可以避免夜间过热。
南方无暖气地区(冬季室温10-16℃)推荐高保温聚酯纤维被(4-6 clo)或厚羽绒被(3-5 clo);夏季空调房推荐薄丝绸被(1-2 clo)或空调被(1-1.5 clo)。
3 个技巧把卧室变成“助眠空间”
1.调对温度,选对床品:根据季节调整室温(老年人可略高),优先让体感舒适;选择透气、轻薄的床品,避免过度保温,让身体能自然散热。
2.睡前“降温”,助力入睡:入睡前1-2小时可以洗个温水澡,之后身体会自然散热,核心体温下降,更容易产生困意;避免睡前剧烈运动,减少身体产热。
3.关注夜间温度变化:如果夜间容易热醒,可以尝试使用透气的夏凉被或调低空调温度;如果容易冷醒,可在脚边放一个暖水袋,让身体末端先暖起来,帮助维持睡眠状态。
最后想提醒大家,很多时候“睡不着”不是病,而是身体在提醒你——环境没准备好。从调整温度开始,或许就能找回一夜好眠。
来源:https://news.mydrivers.com/1/1109/1109122.htm
免责声明:文中图文均来自网络,如有侵权请联系删除,心愿游戏发布此文仅为传递信息,不代表心愿游戏认同其观点或证实其描述。
相关文章
更多-
- 按摩椅要怎么使用才适合老年人?
- 时间:2026-04-24
-
- 罕见!97岁老人头顶长出4厘米恶臭树桩 五年前曾做手术仍复发
- 时间:2026-03-25
-
- 五年20万公里!“50岁自驾游阿姨”回应走戛纳红毯:希望越来越多的普通人被看见
- 时间:2025-05-18
-
- 破大防!90岁奶奶拍vlog做自律博主爆红,评论区炸出百万焦虑青年
- 时间:2025-03-13
精选合集
更多大家都在玩
热门话题
大家都在看
更多-
- 卢字女生霸气网名精选100个:起名灵感与寓意解析
- 时间:2026-05-16
-
- 古风网名女生霸气怎么取?精选100个好听网名
- 时间:2026-05-16
-
- 梁姓女生网名精选100个:起名灵感与寓意解析
- 时间:2026-05-16
-
- 王者可爱干净女生网名100个,怎么取?
- 时间:2026-05-16
-
-
- 苹果A1670解锁教程:无需刷机用iOS修复大师一键格式化
- 时间:2026-05-16
-
- 苹果A1671解锁教程 无需刷机用iOS修复大师格式化设备
- 时间:2026-05-16
-
- 苹果A1701解锁教程 无需刷机用iOS修复大师格式化方法
- 时间:2026-05-16

